增材制造指通過離散-堆積使材料逐點逐層累積疊加形成三維實體的技術。根據它快速成型、任意成型的特點又稱其為增材制造。增材制造技術現在被廣泛應用于各種工業領域,以及醫藥、教育、建筑、娛樂等相關行業中。
3D打印技術只是增材制造工藝的一種。增材制造通過降低模具成本、減少材料、減少裝配、減少研發周期等優勢來降低企業制造成本,提高生產效益。
1、3D打印制造具備的優勢
與傳統的大規模生產方式相比,在經濟上具有吸引力的是小批量定制產品;直接從三維模型生產意味著不再需要模具與工具,同時也沒有轉換成本;以數字模型的形式進行設計方便人們共享,方便組裝、定制和產品的修改;該工藝的可循環性使材料得以節約使用,同時還能重復利用未在制造過程中使用的廢料(如粉末、樹脂),本實驗室高分子激光打印機新舊粉末采用的是1∶3比例混合使用;對于復雜的結構,如蜂窩狀、局部支撐類、自由形式的封閉結構和通道是可以實現的,使最終部件的孔隙率非常低;訂貨減少了庫存風險,沒有未售出的成品,同時也改善了收入流,因為貨物是在生產前支付的;分銷允許本地消費者/客戶和生產者之間的直接交互。
2、光固化技術原理
本文通過采用3D打印技術路線中典型技術光固化成型技術(SLA)為代表來詳細說明。光固化是采用特定的波長與強度的激光聚焦到光固化材料表面,被激光照射到的光固化材料發生聚合而固化。因此,按每層的二維圖像由激光束掃描輻照后,液態的高分子材料就會被特定形狀的圖案凝固。完成一個層面的固化之后,成型平臺在垂直方向移動一個層片的高度,待新一層液面平穩之后再固化另一個層面,這樣層層疊加便最終構成一個三維實體。
UV樹脂即光敏樹脂,是3D打印中光固化技術所用的主要材料。其原理就是利用激光引發感光樹脂的聚合,通過電腦控制光束,逐層固化,最后得到所需的立體構件。同時感光樹脂需要具備低黏度、低收縮、高固化速度、對光的敏感度高、層間黏附相容性好等特點。
目前市面上的光敏樹脂成本依舊較高,且機械強度、耐候性和耐熱性大多低于工程塑料,在一定程度上影響了材料的應用范圍[1]。很多研究主要集中在光敏樹脂材料與設備原理上,如楊娜娜[2]研究了國產和進口的一些同類型樹脂,其力學性能相當,不同體系的光敏樹脂,其性能和斷裂方式差異較大;劉海濤等[3]研究了快速原型件表面質量受到光敏樹脂組分、透射深度、單層固化強度和黏度的影響;蔣三生[4]研究了光敏樹脂3D打印材料中打印工藝參數對打印制品質量及力學性能的影響。然而樹脂的材料特性與使用過程中可能出現的問題卻很少涉及,即研發較為活躍,但能夠進入商業化使用的比較有限。特別是國產光敏樹脂與進口光敏樹脂的材料特性存在較大差距。本文主要從以下2方面進行探討。
3、光敏樹脂的特性以及分析
本實驗室采用的是先臨公司iSLA-650Pro3D打印機,本設備主要采用的是SH8800光固化樹脂。目前市面上主要光固化樹脂參數如表1所示。

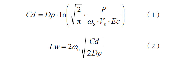
通過上述表格可以計算出不同種類樹脂的固化線寬Lw和固化深度Cd,因為這2個參數直接關系到光固化后模型的表面細節、韌性、成型精度等方面。樹脂固化說明如圖1所示。

其計算公式分別為:

式(1)(2)中:Ec、Dp分別為樹脂的臨界曝光量(lx/s)和透射深度(mm),是光敏樹脂的固有參數;ωo為光斑的半徑,mm;P為功率,W;Vs為掃描速度,m/s。通過這2個參數可以驗證一個普遍的觀點:在3D打印中都希望降低固化的線寬Lw,為了滿足此條件在3D打印機制造企業工程師不斷地改變式中的參數,比如不斷地縮小光斑的半徑以降低線寬。在固化深度方面,由于光線透過復合樹脂時強度逐漸減弱,故深層樹脂往往聚合不完全,當通過一定深度后,單體的聚合程度極小,樹脂的強度非常低,這一臨界深度成為“固化深度”。所以在表1中發現市面上很多材料的固化深度幾乎都是一樣的。
4、模型缺陷
3D打印過程本質上來說是采用離散和疊加的思想[5]。離散過程即是將三維模型切片,將得到的層片信息進行數據處理,其中不僅包含結合3D打印機設置加工參數,也包含對切片得到的層片輪廓內部進行掃描填充即路徑規劃等,從而得到數據文件[6]。而疊加過程就是將打印數據文件發送到打印機,打印機接收到指令后,開始逐層累積打印,最終就可得到實體模型[7]。一般來說,三維模型成型的質量取決于所選工藝的成型精度和3D打印的工藝的選擇[8]。總體上,影響快速成型精度的因素分為3類,即計算機切片處理誤差、打印過程誤差和后處理誤差[9]。以上3種誤差中,在各類3D打印工藝前處理過程中共同會存在的問題就是計算機的軟件切片產生的誤差,同時產生的誤差機理也是相同的。在日常打印中經常會發現一個問題,即模型放入打印機軟件中會產生破面。然而很多人覺得自己的模型完全看不到破面,那這又是為何呢?在建立三維模型時,由于采用的是不同的軟件,不同的軟件默認保存的格式不盡相同,但是最終都是需要轉化為STL格式才能進行3D打印。在實際教學中發現,不同的專業使用不同的建模軟件,有些軟件無法轉化為STL格式或者有些模型在轉化后模型產生的誤差較大。當保存STL文件后,設計的所有表面和曲線都會被轉換成網格,網格一般由一系列的三角形組成,代表著設計原型中的精確幾何含義。很多三角形的面可以表現流暢的曲線,這就需要導出高分辨率的STL文件,所以需要將STL文件保存為合適的分辨率。一般弦高要達到0.05mm以下,角度值控制在0.1°以下,控制界面如圖2所示。

然而當不斷地控制三角面片各項尺寸時,隨之而來的就是在格式轉換過程中可能有些三角面片會變得很小,以至于機器無法察覺。STL文件必須是全封閉的,正如上面所說的原因,即使設計的物體已經創建完成后,很有可能仍存在一些沒有留意到的小孔。此時要導出STL文件格式時,軟件則會自動報錯。這些錯誤并非發生在瀏覽階段,而是存在于該模型的對象中。目前很多切片軟件會自動幫助修復STL文件錯誤。
綜上所述,為了消除以上所涉及到的問題,需要在建立模型時仔細留意是否存在破面或結合處產生誤差,同時在模型格式轉換中需要注意在曲面中的弦高與角度控制值。
光固化打印技術是目前各種打印技術中,在綜合模型質量、單價、效率等方面綜合考慮后最適合大規模推廣的。本文在綜合考慮市面上多種光敏樹脂后從材料本身的特性出發,選擇了一種性價比較高的SH8800材料。通過這種材料打印出的模型能夠滿足日常教學科研的需要。同時在實際科研中通過不斷嘗試,找到了比較合適的弦高與角度控制參數,解決了模型轉換過程可能出現的問題,進而可以極大地提高打印零部件的效率。
參考文獻:
[1]梁曉靜,于曉燕.3D打印用高分子材料及其復合材料的研究進展[J].高分子通報,2018(4):27-35.
[2]楊娜娜.SLA光固化樹脂的力學行為研究[J].橡膠技術與裝備,2017,43(8):52-54.
[3]劉海濤,黃樹槐,莫健華,等.光明樹脂對快速原型件表面質量的影響[J].高分子材料科學與工程,2007,23(5):170-173.
[4]蔣三生.基于SLA成型的光敏樹脂3D打印工藝及性能[J].工程塑料應用,2019,47(1):76-81.
[5]賀強,程涵,楊曉強.面向3D打印的三維模型處理技術研究綜述[J].制造技術與機床,2016(6):54-57.
[6]雷聰蕊,葛正浩,魏林林,等.3D打印模型切片及路徑規劃研究綜述[J].計算機工程與應用,2021,57(3):24-32.
[7]婁平,尚雯,張帆.面向3D打印切片處理的模型快速載入方法研究[J].武漢理工大學學報,2016,38(6):97-101.
[8]王琛.3D打印快速成型計算機切片處理誤差分析[J].軟件,2021,42(4):87-89.
[9]瞿娟,郁舒蘭.基于網絡爬蟲的用戶評論數據分析[J].智能計算機與應用,2020,10(10):170-173.
作者簡介:吳開明(1991—),男,江蘇鹽城人,碩士研究生,助理實驗師,主要從事3D打印與流體機械方面的工作。
相關鏈接
- 2023-03-03 定制3D打印鈦合金板 鈦合金棒 鈦合金鍛件 TC4/TC11/TA15大量庫存
- 2023-03-01 3D打印鈦合金鍛件在口腔領域的應用研究與進展
- 2023-02-20 3D打印技術在航空制造領域的應用
- 2023-02-08 定制3D打印制粉鈦棒 鈦合金板 鈦合金鍛件
- 2023-01-12 鈦合金3D打印鈦棒成形技術及缺陷
- 2022-12-01 3D打印鈦合金加工材的精密鑄造工藝技術
- 2022-11-18 3D打印SLM工藝用球形鈦合金粉制備工藝及性能研究
- 2022-11-17 航空航天用鈦合金棒3D打印技術的研究概述
- 2022-11-09 3D打印用鈦及鈦合金球形粉末制備技術
- 2022-09-29 利泰金屬定制3D打印TC4鈦板 TC4鈦棒 TC4鈦鍛件

